'Belarus |
Кубок БФА 2007 23 апреля 2007 |
| Главная | Новости | Библиотека | Рейтинг | Календарь | Результаты | Гостевая | От автора |
К участию в соревнованиях Кубка Федерации (элита) допускаются спортсмены, являющиеся членами БФА, 1991 г. рождения и старше. Соревнования проводятся для групп М21Е и Ж21Е.
К участию в соревнованиях Кубка Федерации по лыжному ориентированию допускаются спортсмены, являющиеся членами БФА, 1991 г. рождения и старше. Соревнования проводятся для групп М21Е и Ж21Е.
К участию в соревнованиях Кубка Федерации среди ветеранов допускаются спортсмены, являющиеся членами БФА, 1967 г. рождения и старше среди мужчин и 1972 г. рождения и старше среди женщин. Соревнования проводятся для групп М40, М50, М55, Ж35, Ж45, Ж50.
К участию в соревнованиях Кубка Федерации по спринту допускаются все желающие спортсмены. Соревнования проводятся в следующих возрастных группах: М12, М14, М16, М18, М21, М40, М45, М50, М55; Ж12, Ж14, Ж16, Ж18, Ж21, Ж35, Ж40, Ж45, Ж50.
В клубном первенстве Кубка Федерации по спринту участвуют клубы являющиеся членами БФА.
Ответственность за правомерность допуска спортсменов на этапы возлагается на организаторов этапов Кубка.
Результат каждого спортсмена в Кубке Федерации (элита) определяется по сумме очков, набранных им в пяти лучших стартах по группам М21Е и Ж21Е.
Результат каждого спортсмена в Кубке Федерации по лыжному ориентированию определяется по сумме очков, набранных им в трёх лучших стартах
Результат каждого спортсмена в Кубке федерации среди ветеранов определяется по сумме очков, набранных им в пяти лучших стартах.
В личном зачёте звание победителей и призёров Кубка Федерации по спринту разыгрывается в финале среди спортсменов, которые заняли места с 1 по 20 в каждой возрастной группе по спринтерскому рейтингу. Спринтерский рейтинг спортсмена определяется по сумме пяти лучших в очковом выражении результатов, показанных спортсменом на этапах Кубка. Спортсмены, не попавшие в число 20 сильнейших, также стартуют в финале и их результаты участвуют в подсчёте клубного первенства. В финале спортсмены стартуют в соответствии с местом в рейтинге, в обратном порядке.
Результаты клубного первенства Кубка Федерации по спринту определяются по результатам всех этапов и финала Кубка. По итогам каждого этапа Кубка суммируется 10 лучших значений очков, начисленных спортсменам клуба, и определяется место клуба в данном этапе. В распределении мест не участвуют клубы, которые представлены менее чем тремя спортсменами, сумевшими заработать очки. Исходя из занятого места, клубам начисляются баллы: клуб, занявший последнее место, получает 1 балл, предпоследнее - 2 балла и так далее. Баллы, полученные клубом в финале, удваиваются. Места в клубном первенстве распределяются по сумме баллов девяти лучших из 11 стартов сезона.
Победители определяются по наибольшему количеству очков (баллов), при равенстве очков присваиваются одинаковые места.
Начисление очков на этапах Кубка федерации (элита) производится в соответствии с "Положением о системе начисления рейтинговых очков в соревнованиях Кубка БФА в 2007" (см. здесь).
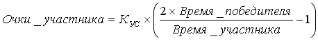
Начисление очков на этапах Кубка Федерации по лыжному ориентированию, Кубка Федерации среди ветеранов и Кубка Федерации по спринту производится по формуле:
,
где КУС - коэффициент уровня соревнований определяющий количество очков начисляемых победителю. Значения КУС для различных этапов приведены в п.8 настоящего положения.
В случае если организаторы этапа разбивают группу Кубка на несколько возрастных групп, то при начислении очков результаты из других групп идут в подсчет только, если дистанции одинаковы. В случае если организаторы этапа объединяют соседние группы, расчёт начисления очков ведётся отдельно для каждой возрастной группы Кубка.
Победители и призеры награждаются призами, дипломами и медалями соответствующих степеней. Победитель клубного первенства Кубка Федерации по спринту награждается переходящим кубком.
Организаторы этапов должны предусмотреть возможность допуска спортсменов к участию только в этапе Кубка, без участия в других стартах многодневных соревнований.
Протоколы результатов этапа Кубка и акты сдачи дистанций, оформленные в соответствии с Правилами соревнований, должны быть предоставлены в БФА в течение 5 суток со дня проведения соревнований в электронном виде и на бумажном носителе.
Судейство соревнований осуществляется судьями, рекомендованными республиканской Коллегией судей по спортивному ориентированию и утвержденными Президиумом БФА (главные судьи и главные секретари). Соревнования проводятся по действующим Правилам соревнований.
| Название | Кат. дист. | Дата | Регион | Организатор | |
|---|---|---|---|---|---|
| 1. | Брестский Подснежник 2007 | Б | 31.03 | Брест | ОЦДЮТиЭ, СК "Буг" |
| 2. | Открытый Кубок Гродно 2007 | Б | 21.04 | Гродно | КСО "Кронан" |
| 3. | Командный чемпионат Беларуси | А | 26.05 | Полоцк | СТКК "Арго" |
| 4. | Кубок Беларуси среди клубов | А | 2.06 | Гродно | КСО "Кронан" |
| 5. | Чемпионат Беларуси. Спринт | А | 16.06 | Новополоцк | КСО "Маяк-Ориентир" |
| 6. | Чемпионат Беларуси. Короткая | А | 17.06 | Новополоцк | КСО "Маяк-Ориентир" |
| 7. | Кубок ФанДОКа 2007 | Б | 1.07 | Бобруйск | СК "Фандок" |
| 8. | Открытый чемпионат Полоцка | Б | 29.07 | Полоцк | СТКК "Арго" |
| 9. | Чемпионат Беларуси. Классика | А | 4.08 | Минск | ОК "Пралеска" |
| 10. | БГУ-86 | Б | 30.09 | Минская | СК "БГУ" |
| 11. | Чемпионат Беларуси. Удлинённая | А | 6.10 | Минск | ОК "Пралеска" |
Примечание: Зачёт по 5 лучшим стартам.
| Название | КУС | Дата | Регион | Организатор | |
|---|---|---|---|---|---|
| 1. | Брестский Подснежник 2007 | 1000 | 1.04 | Брест | ОЦДЮТиЭ, СК "Буг" |
| 2. | Весна-2007 | 1000 | 7.04 | Минск | КСО "Маяк-Ориентир" |
| 3. | Открытый Кубок Гродно 2007 | 1000 | 20.04 | Гродно | КСО "Кронан" |
| 4. | Чемпионат Беларуси. Спринт | 1000 | 16.06 | Новополоцк | КСО "Маяк-Ориентир" |
| 5. | Открытый Кубок "ВОЛКа" 2007 | 1000 | 22.07 | Волковыск | КСО "ВОЛК" |
| 6. | Открытый чемпионат Полоцка | 1000 | 28.07 | Полоцк | СТКК "Арго" |
| 7. | Кубок "Торпедо" 2007 | 1000 | 31.08 | Могилёв | СКО "Торпедо" |
| 8. | Кубок Беларуси среди ДЮК | 1000 | 23.09 | Минск | РЦТиКУМ |
| 9. | БГУ-86 | 1000 | 29.09 | Минская | СК "БГУ" |
| 10. | BNTU OPEN 2006 | 1000 | 19.10 | Минск | КСО "БНТУ" |
| 11. | Финал Кубка БФА по спринту | 1000 | 20.10 | Минская | КСО "БНТУ" |
Примечание: 4 этап идёт в зачёт только для групп М21 и Ж21.
| Название | КУС | Дата | Регион | Организатор | |
|---|---|---|---|---|---|
| 1. | Брестский Подснежник 2007 | 1000 | 31.03 | Брест | ОЦДЮТиЭ, СК "Буг" |
| 2. | Открытый Кубок Гродно 2007 | 1000 | 21.04 | Гродно | КСО "Кронан" |
| 3. | Майская Многодневка 2007 | 1000 | 30.04 | Минск | СК "Камволь" |
| 4. | Первенство среди ветеранов | 1100 | 26.05 | Полоцк | СТКК "Арго" |
| 5. | Первенство среди ветеранов | 1100 | 27.05 | Полоцк | СТКК "Арго" |
| 6. | Кубок ФанДОКа 2007 | 1000 | 1.07 | Бобруйск | СК "Фандок" |
| 7. | Открытый чемпионат Полоцка | 1000 | 29.07 | Полоцк | СТКК "Арго" |
| 8. | Кубок "Торпедо" 2007 | 1000 | 1.09 | Могилёв | СКО "Торпедо" |
| 9. | Белая Русь 2007 | 1000 | 15.09 | Минск | КСО "Белая Русь" |
| 10. | Кубок Беларуси среди ДЮК | 1000 | 22.09 | Минск | РЦТиКУМ |
| 11. | БГУ-86 | 1000 | 30.09 | Минская | СК "БГУ" |
| 12. | Чемпионат Беларуси. Удлинённая | 1100 | 6.10 | Минск | ОК "Пралеска" |
Примечание: Зачёт по 5 лучшим стартам.
| Название | КУС | Дата | Регион | Организатор | |
|---|---|---|---|---|---|
| 1. | Кубок Беларуси по л/о | 1100 | 20.01 | Минск | СК "Камволь" |
| 2. | Кубок Беларуси по л/о | 1100 | 21.01 | Минск | СК "Камволь" |
| 3. | Чемпионат Могилёвской обл. по л/о | 1000 | 27.01 | Могилёв | ФСО Могилёвской обл. |
| 4. | Чемпионат Беларуси по л/о | 1100 | 2.02 | Могилёв | КСО "Азимут-Спартак" |
| 5. | Чемпионат Беларуси по л/о | 1100 | 3.02 | Могилёв | КСО "Азимут-Спартак" |
Примечание: Зачёт по 3 лучшим стартам.
|
|
obelarus@newmail.ru |